廉政新闻
廉政动态
头条新闻
审查调查
廉政图解
廉洁文化
以案为鉴
廉政共建
社团组织
律所
司法
法院
检察
公安
廉政在线
福建
江西
安徽
河北
浙江
山东
湖南
四川
黑龙江
山西
宁夏
陕西
贵州
吉林
河南
广东
辽宁
内蒙古
北京
广西
云南
江苏
海南
湖北
上海
重庆
天津
青海
西藏
甘肃
搜 索
廉政新闻
廉政动态
头条新闻
审查调查
廉政图解
廉洁文化
以案为鉴
廉政共建
廉政在线
视频
高层动态
高端论坛
名家专栏
一线报道
民生与法
法律服务
廉政人物
司法案例
企业与法
廉政服务
以案警示
人员查询
关于我们
帮助中心
廉政内参
首页
>
廉政共建
>
公安
> 正文
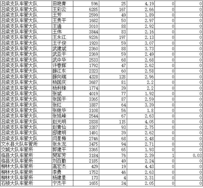
吕梁市公安局交通管理支队向社会公布辖区机动车驾驶人培训学校培训合格率、考试员考试质量情况
2026-04-01
来源:廉政中国
编辑:小编
廉政中国讯(孙锁贵 陈宏伟)
根据公安部交管局工作要求,吕梁市公安局交管支队现向社会公布辖区机动车驾驶人培训学校培训合格率、考试员考试质量情况。
机动车驾驶人培训学校培训合格率
考试员考试质量
扫描二维码分享到手机
查看更多 >
视频
山风吹拂金达莱 光影铸魂忠骨存
公安部推出《中国公安》国际形象宣传片
高温慰问沁人心 凝心聚力鼓干劲——太原市政集团开展2025年夏季“送
晋中学习运用“千万工程”经验 实施百乡(村)示范“千村治理”行动
查看更多 >
廉政共建
山西运城河津:赵刚深入樊村镇派出所、下化乡派出所调研工作
山西吕梁柳林县公安:深入企业敲警钟 交通安全入人心
以少年之声传递法治力量——山西长治武乡县人民检察院开展“培育四季花学生
山西吕梁岚县:交安宣传进社区 守护居民平安路
查看更多 >
廉政在线
山西吕梁临县教育体育局举办2026年第二次高考备考研讨会
山西吕梁汾阳市长李冰峰调研指导市综治中心工作
山西吕梁孝义:刘世庆督导检查护林防火和打击私挖盗采工作
耕墨抒黄土 丹青耀吕梁——吕梁市农民书画研究会正式成立
返回
顶部